#499. RPNHEIGHT – Chiều cao cây biểu thức RPN

Bộ nhớ: 256 MiB Thời gian: 1000 ms Nhập/xuất từ luồng chuẩn
Kiểu bài: Thông thường Kiểu chấm: So sánh văn bản
Đưa lên bởi: Trùm CUỐI

Đề bài

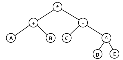
Với mọi biểu thức số học gồm 5 phép toán hai ngôi +, -, , /, ^ ở dạng hậu tố (RPN – ký pháp đảo ngược Ba Lan), ta có thể xây dựng một cây nhị phân tương ứng. Ví dụ với biểu thức hậu tố: AB+CDE^- (mỗi toán hạng là một chữ cái Latinh) thì cây nhị phân tương ứng là như sau:

Yêu cầu: cho một biểu thức hậu tố, hãy tính chiều cao của cây nhị phân tương ứng với biểu thức đó.

Dữ liệu vào:

  • Dòng đầu chứa số nguyên dương T là số biểu thức;
  • T dòng tiếp theo, mỗi dòng chứa một biểu thức RPN (các toán hạng là các chữ cái Latinh).

Dữ liệu ra:

  • Ứng với mỗi biểu thức dạng RPN, in ra chiều cao cây nhị phân tương ứng trên một dòng.

Ví dụ:

Dữ liệu vào:
4
AB+CDE^-*
ABC*+
AB+ZX+*
AT+BAC++CD+^*
Dữ liệu ra:
3
2
2
4

Giới hạn:

  • 1 ≤ T ≤ 100 ; độ dài các biểu thức không quá 5000 .