G. TREE

Bộ nhớ: 256 MiB Thời gian: 1000 ms Nhập/xuất từ luồng chuẩn
Kiểu bài: Thông thường Kiểu chấm: So sánh văn bản

Đề bài

Nguồn: Beginner Free Contest 5

Ở một vùng đất xa xôi, có một bầy kiến đang xây tổ. Theo như bản thiết kế của kiến kĩ sư, các kiến thợ phải đào N − 1 đường hầm sao cho từ một khu vực có thể đi đến tất cả các khu vực còn lại. Mặt khác, theo phong thủy, mỗi khu vực u phải cách khu vực v xa nó nhất đúng bằng khoảng A_u . Liệu có thể xây dựng được tổ đảm bảo những yêu cầu trên hay không? Bạn hãy giúp kiến kĩ sư kiểm tra nhé.

Dữ liệu vào:

  • Dòng đầu gồm một số nguyên dương N ;
  • Dòng tiếp theo, gồm N số A_u - khoảng cách giữa đỉnh u và đỉnh xa u nhất.

Dữ liệu ra:

  • In ra Possible nếu tồn tại cách xây. Ngược lại, in ra Impossible.

Ví dụ:

Dữ liệu vào:
5
3 2 2 3 3

Dữ liệu ra:

Possible
Dữ liệu vào:
3
1 1 2

Dữ liệu ra:

Impossible
Giải thích:
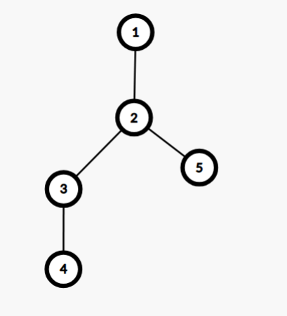
  • Ở ví dụ 1 :

Giới hạn:

  • 1 ≤ N ≤ 10^5; 1 ≤ A_i < N .